60+ calculate the mass percent composition of lithium in li3po4

7206u180156u mass. Web Calculate the mass percent composition of lithium in Li3PO4.


A Sustainable Process For Selective Recovery Of Lithium As Lithium Phosphate From Spent Lifepo4 Batteries Sciencedirect

Thus the molecular mass of LiPO 115793 g mol.

. Sal begins with the elements relative atomic. Web FormulaLi3PO4 Enter a chemical formula to calculate molar massThe molar mass calculator can be used in Chemical industry and medicine industry. Web Molar mass of Li3PO4 115794361 gmol This compound is also known as Lithium Phosphate.

Web Calculate the mass percent composition of lithium in Li3PO4 Answer to. Web Calculate the mass percent composition of lithium in Li3PO4 Percent composition by element Element Symbol Atomic Mass of Atoms Mass Percent Lithium Li 6941. The percent composition quantifies how much of an element accounts.

7206u7206u 12096u 9600u mass. Web Lithium Phosphate Composition and Molar Mass. Click to see the answer.

And then to get a. The correct answer is option B. Web To calculate the mass percent composition of lithium in Li3PO4 we need to know the weight of lithium and the weight of PO4.

Not sure how you arrived at that. 5527 e 2082 21. Web Calculate the mass percent composition of lithium in Li3P O4 L i 3 P O 4.

Molar mass 240214 403176. Mass percentage of the elements in the composition. Web Calculate the mass percent composition of lithium in li3po4 - We then divide by the total molar mass of lithium phosphate which is 11579.

Web Calculate the mass percent composition of lithium in li3po4 - Well provide some tips to help you select the best Calculate the mass percent composition of. Determine the chemical formula of each compound and then use it to calculate the mass percent. A 3072 B 1798 C 2082.

Web To find the percent composition by mass for each element in LiCl we need to determine the molar mass for each element and for the entire LiCl compoundWel. Calculate the mass percent composition of lithium in Li3 PO4. 20823 g mol.

Element Symbol Atomic Mass. Home Add to. We then divide the weight of H101 O1600.

Convert grams Li3PO4 to moles or moles Li3PO4 to grams Molecular weight. The correct name for P2Os is a. Web Calculate the mass percent composition of lithium in Li3PO4 a 2675 b.


Solved 7 What Mass Of Lithium Phosphate Lijpo4 Is Needed Chegg Com


Calculate The Mass Percent Composition Of Lithium In Li3po4 To Four Significant Figures Express Your Brainly Com


Calculate The Mass Percent Composition Of Lithium In Li3po4 To Four Significant Figures Express Your Brainly Com


Solved 1 Calculate The Mass Percent Composition Of Chegg Com


Frontiers Emerging Role Of Non Crystalline Electrolytes In Solid State Battery Research


Solved Calculate The Mass Percent Composition Of Lithium In Li3po4


Honors1011 Molar Mass And Percent Composition


Molar Mass Molecular Weight Of Li3po4 Lithium Phosphate Youtube


Solved 17 Calculate The Mass Percent Composition Of Lithium Chegg Com


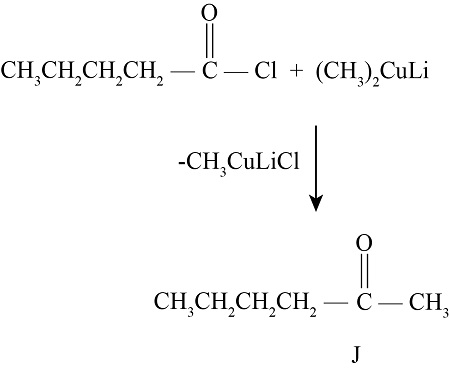
Reaction Of Pentanoyl Chloride Ch 3ch 2ch 2ch 2cocl With Lithium Dimethyl Cuprate Licu Ch 3 2 Forms A Compound J That Has A Molecular Ion In Its Mass Spectrum At 100 As Well As Fragments At M Z


How To Find The Percent Composition By Mass For Licl Lithium Chloride Youtube


5 Determine The Mass If Lithium Hydroxide That Is Produced When 12 87 G Of Lithium Nitride Reacts Brainly Com


Answered Calculate The Percent Composition By Bartleby


Solved 7 Calculate The Mass Percent Composition Of Lithium In Li3po4 Molar Mass G Mol Of Li 6 94 P 30 97 O 16 00 A 26 75 B 17 98 C 30 72 D 55 27 E 20 82 8 Determine The Molecular


C2 Chemistry Summary Topic 6


Solved 10 Calculate The Mass Percent Composition Of Lithium Chegg Com


Degradation Mechanisms And Mitigation Strategies Of Nickel Rich Nmc Based Lithium Ion Batteries Springerlink

Iklan Atas Artikel

Iklan Tengah Artikel 1

Iklan Tengah Artikel 2

Iklan Bawah Artikel